|
From: Melon888
小的發現啊,讀佛經就算暫且不論法義的精闢,光讀故事也很有趣。同一件事情,在不同經文有時可看到不同角度的側寫,讀起來實在很有意思 以世尊在界隔山中為釋提桓因講解「愛盡解脫」之義為例:
《雜阿含、卷20、552經》 時,訶梨聚落主長者詣尊者摩訶迦旃延所,稽首禮足,退坐一面,白尊者摩訶迦旃延:「如世尊於界隔山天帝釋石窟說言:『憍尸迦,若沙門、婆羅門無上愛盡解脫,心正善解脫,究竟邊際,究竟無垢,究竟梵行,畢竟清淨。』云何於此法、律究竟邊際,究竟無垢,究竟梵行,畢竟清淨?」
《雜阿含、卷19、505經》 爾時,尊者大目揵連獨一靜處禪思,作是念:「昔有時,釋提桓因於界隔山石窟中,問世尊愛盡解脫之義,世尊為說,聞已隨喜,似欲更有所問義,我今當往問其喜意。」作是念已,如力士屈申臂頃,於耆闍崛山沒,至三十三天,去一分陀利池不遠而住。
《雜阿含、卷35、988經》 時,釋提桓因白佛言:「世尊,世尊曾於隔界山石窟中說言:『若有沙門、婆羅門無上愛盡解脫、心善解脫,彼邊際、究竟邊際、離垢邊際、梵行畢竟。』云何為比丘邊際、究竟邊際、離垢邊際、梵行畢竟?」
[melon註]
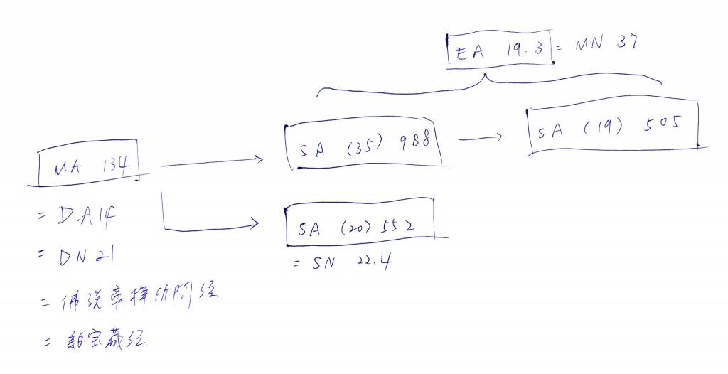
chakwos: 在讀今天的讀經班進度時發現,《中阿含經》卷三十三第134經大品釋問經好像是這一切的開始,當中天帝釋在鞞陀提山(界隔山)石窟向佛問法,佛陀說法中提到:「若有沙門、梵志於無上愛盡,正善心解脫者,彼至究竟、究竟白淨、究竟梵行、究竟梵行訖」。 root: 我查到大正藏還有一部《佛說帝釋所問經》也是中阿含第134經的異譯。 David Chiou: 感謝各位同學的分享及討論,關於天帝釋在界隔山石窟問愛盡解脫之義的相關經典,終於串起來了: 《中阿含經》卷三十三第134經大品釋問經等經記載天帝釋於石窟中向釋迦牟尼佛請教,當中佛陀提到:「若有沙門、梵志於無上愛盡,正善心解脫者,彼至究竟、究竟白淨、究竟梵行、究竟梵行訖。」這一經長又複雜,所以大多讀經的人可能看到這段話之前已經花掉了,仔細讀到這句話的人,也不見得會聯想到這句話就是後來被引述多次的「愛盡解脫」的出處,因此實在不好找呀! 基於這句話,後來天帝釋向佛陀進一步詢問什麼是「愛盡解脫」,該段對話又引生後續的問答及事件,算是橫跨四部阿含、尼柯耶,傳誦天上與人間的問答接龍。這些經載彼此間的關係如下圖所示: 以下為較詳細的說明,每個框框之中,上面為經號及經名,下面為該經內容簡介: David Chiou: 除了四阿含及尼柯耶外,原來《中阿含經》第134經在大正藏有好幾個翻譯,root 找出了《佛說帝釋所問經》,我也找到《雜寶藏經》卷六第73經帝釋問事緣,都是本經的另譯,這些譯本是目前四阿含對應經典列表上還未列出的。「天帝釋問佛愛盡解脫之義」這幾經彼此的關係,以前也沒見過探討,要感謝 Melon 及 chakwos 的分享,三個臭皮匠勝過一個諸葛亮,謝謝大家方便未來讀經的同學們。
本經中三位比丘往生成為低階天眾(音樂師傅),供養他們的女居士則成為天帝釋的王子。查經過程中見到南傳論,提到在他們往生前,女居士常供養三位比丘,三位比丘則為女居士說法、梵唄。三位比丘覺得自己唱梵唄唱得很好聽,自鳴得意,成為天界的音樂師傅;女居士則虔敬聆聽法義,因此獲得殊勝的果報。看來我執無處不在,我們也都要小心,不要自鳴得意 順道一提:像這種一連串接龍的經典遍及四阿含,可以顯示市面上有種「雜阿含經最早結集」這種觀點不太正確。界隔山石窟的這事件,記載的順序是:長阿含/中阿含 → 雜阿含 → 增壹阿含。 四阿含或五尼柯耶的結集,主要還是依據經文長短來區分的,頂多說《雜阿含經》經文較短所以比較不容易記錯,但要硬性區分哪一部最早結集,不太有意義,畢竟都是在佛滅五百年後才有貝葉可書寫而記下。 |
|
|
|


